Italiaans onderzoek: weinig verschil tussen autonoom en traditioneel maaien |
|
|
|
|
 |
| 75 sec |
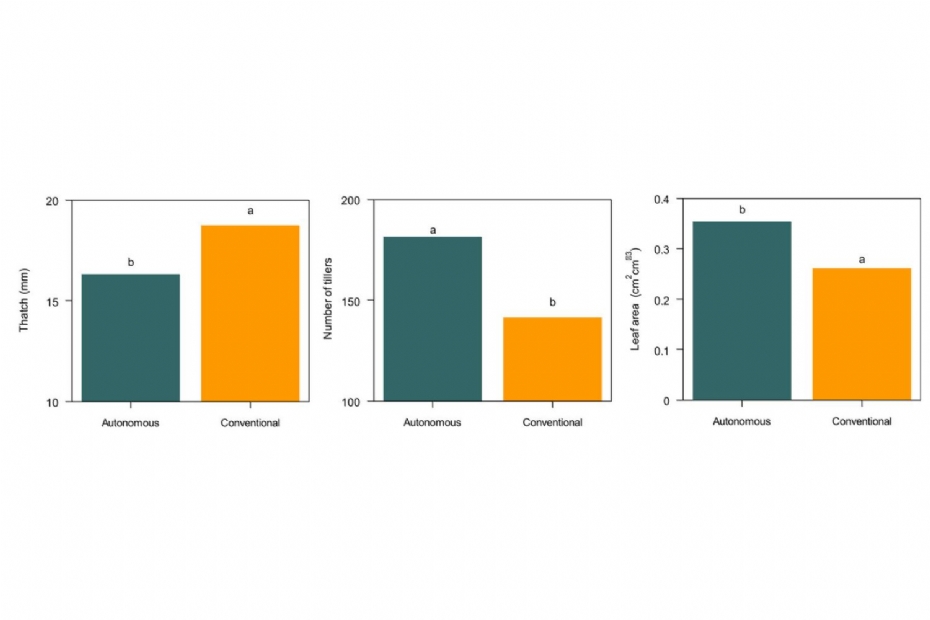
Wel minder vilt en hogere spruitdichtheid bij autonoom maaien
Een veldproef van de Universiteit van Padua, uitgevoerd door onderzoeker Stefano Macolino, laat zien dat een sportveld dat bestaat uit 100 procent veldbeemd (Poa pratensis) een vergelijkbare kwaliteit behoudt bij autonoom en traditioneel maaien. Wel resulteerde maaien met de robot in minder vilt en een hogere spruitdichtheid.
| Husqvarna Ceora op de golfbaan |
De studie werd uitgevoerd vanaf de herfst van 2023 tot het voorjaar van 2024 in Legnaro in Noordoost-Italiƫ. Twee maaisystemen werden vergeleken op veldbeemd: conventioneel maaien met een mulchmaaier (wekelijks op 39 mm) en autonoom maaien met een robot (dagelijks op 33 mm).
 | | Stefano Macolino |
|
|
Vergelijkbare grasmatkwaliteit, kleine verschillen NDVI
Conventioneel maaien leverde in september een hogere grasmatkwaliteit op, maar vanaf november waren er geen significante verschillen meer tussen beide maaisystemen. De onderzoekers merken op dat de grasmat mogelijk enige tijd nodig heeft om zich aan te passen aan de hogere maaifrequentie van de robot. Ook wat betreft de NDVI-waarden was er weinig verschil tussen de systemen, met uitzondering van oktober, toen de autonoom gemaaide plots iets hogere NDVI-waarden lieten zien. Dit duidt erop dat de autonome maaier de vegetatie in elk geval niet extra belastte.
 | | Minder vilt, meer spruiten en hogere NDVI |
|
|
Minder vilt, meer spruiten bij robot
Duidelijker waren de verschillen in morfologische kenmerken. De grasmat die dagelijks werd gemaaid met de autonome maaier ontwikkelde een significant hogere spruitdichtheid en meer bladoppervlak per volume-eenheid. Ook was de viltlaag beduidend dunner in deze plots. Volgens de onderzoekers komt dit doordat het autonome systeem minder grasresten produceert, die sneller afbreken. Daarnaast stimuleert de hogere maaifrequentie de plant om nieuwe spruiten te vormen, wat resulteert in een dichtere zode met fijner blad.
Goede prestaties in koelere maanden, vraagtekens voor zomer
Veldbeemd staat bekend als een zogenaamd cool season grass en wordt veel toegepast op sportvelden en gazons in gematigde klimaten. De onderzoekers waarschuwen echter dat dit beeld mogelijk verandert bij hoge temperaturen en droogte. Veldbeemd kan dan in zomerrust gaan. Voor de Nederlandse situatie lijkt dat niet relevant.
Conclusie
Hoewel het onderzoek geen verbetering van de grasmatkwaliteit aantoont bij autonoom maaien, blijken er wel voordelen te zijn op het gebied van viltbeheer en spruitvorming. Dit kan op termijn leiden tot minder onderhoud en mogelijk minder ziektedruk.
|
Bron
Comparing autonomous and conventional mowing: Effects on Kentucky bluegrass quality and morphology, International Turfgrass Society Research Journal 2025, Stefano Macolino, Alberto Novello, Christina Pornaro.
|
| LOGIN
met je e-mailadres om te reageren.
|
|
|
| Er zijn nog geen reacties. |
|